Más Información

Harfuch informa sobre otra detención relacionada al asesinato de Bernardo Bravo, líder limonero en Michoacán

Zhi Dong Zhang, la cronología del narco chino recapturado en Cuba; así se convirtió “Brother Wang” en objetivo de EU

México y EU anunciarán acuerdos en migración, drogas y T-MEC en noviembre: subsecretario de Comercio

El tema de seguridad no está resuelto, reconoce Harfuch en el Senado; destaca apoyo de EU en combate al fentanilo

Canciller De la Fuente alista reunión interparlamentaria México-Unión Europea; se reúne con diputados y senadores

Inicia entrega de primer apoyo a damnificados por lluvias; Bienestar informa día, hora y módulo para recogerlo

Gutiérrez Luna califica como "evento cultural" baile de la Sonora Santanera en San Lázaro; rechaza críticas por tragedia en Veracruz
El presidente de Estados Unidos, Donald Trump, anunció el miércoles aranceles recíprocos masivos que provocaron un shock en la economía mundial.
Trump aseguró que sus gravámenes son "benévolos" en comparación con los que esas naciones usan con Estados Unidos. Según el gobierno, usó una fórmula "compleja" para calcular los aranceles, país por país.
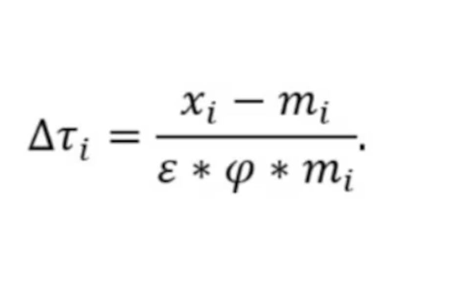
Incluso se mostró una fórmula griega, para evidenciar el trabajo que se hizo hasta llegar al gravamen de cada país. En el caso de la Unión Europea, es de 20%, pero para China fue de 34%, que sumado a un 20% que ya tenía, suma 54%.

Sin embargo, expertos se dieron a la tarea de estudiar cómo fue que llegó Trump a esas cifras y el resultado parece ser una fórmula mucho más sencilla: una simple regla de tres, al dividir el déficit comercial con un determinado socio por el valor de las importaciones, multiplicando el resultado por cien. El resultado da el arancel que se impuso de la UE, Suiza y China, entre otros.
Fórmula para imponer aranceles, una simpleza total, afirman
James Surowiecki, periodista financiero y autor de libros, señaló en X que el cálculo es una simpleza total: dividir el déficit comercial que tiene Estados Unidos con una nación entre las exportaciones que ese país envía a suelo estadounidense. Y, para ser muy "amable", el total se dividió entre dos.
Trump había dicho anteriormente que la tasa arancelaria de cada nación sería “la tasa combinada de todos sus aranceles, barreras no monetarias y otras formas de fraude”.
Surowiecki puso como ejemplo el caso de Indonesia. "Tenemos un déficit comercial de 17 mil 900 millones de dólares con Indonesia. Sus exportaciones a nosotros ascienden a 28 mil millones de dólares. 17.9 $/28$ = 64%, que según Trump es la tasa arancelaria que Indonesia nos cobra". Luego, dividió la cifra entre dos y el resultado es el 34% de arancel que Trump decidió imponer a la nación asiática. "Qué extraordinario disparate es este", concluyó el experto.
¿Y aquellos países con los que no hay déficit? La respuesta también es simple: 10% de arancel. Es el caso de la mayoría de países latinoamericano, incluyendo Argentina y El Salvador, dos naciones que a pesar de su alianza con Trump, no libraron el gravamen.
Es una fórmula “totalmente arbitraria e injustificada”, consideró el ministro español de Economía, Carlos Cuerpo. En declaraciones a El Diario, de España, Enrique Feás, técnico comercial del Estado e investigador principal del Instituto Elcano, dijo que se trata de “un cálculo de lo más burdo”.
En otros casos, es aún peor. Por ejemplo, para Camboya, al que se le impuso un arancel de 49%, las autoridades comerciales dijeron haber hecho una serie de cálculos basados más en una interpretación de lo que sienten como un abuso por parte de sus socios comerciales, que en datos transparentes.
Los aranceles golpearon particularmente a Asia, donde las bolsas cayeron en reacción a las medidas.
China prometió que habrá una respuesta firme, igual que la Unión Europea.
mcc
Más Información
Noticias según tus intereses
[Publicidad]